四、四边形单元
[双三次插值(协调板元)] 二元双三次插值多项式共有
个系数,其一般形式可写成


只要在每个顶点给定节点参数值
就可以唯一确定这些系数.
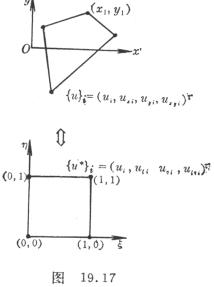
考虑局部坐标(ξ,η)中的单位矩阵,对一维单元的三次插值的型函数表达式作适当的组合,不难看出其型函数依序可写成




容易证明,它们满足如下的条件:
(i)
在顶点i上等于1.
(ii) 其余函数及其一阶与混合二阶导数在各节点上都等于零.
(iii)
![]()
于是在局部坐标系中,插值多项式可写成
![]()
注意,在两坐标系中,节点参数值之间的变换应取

而型函数相应地有如下关系
(i=1,2,3,4)
这种单元是协调单元.
[不完全的双三次插值] 节点参数值取
,共有十二个插值条件,因此要唯一确定插值多项式,必须对它加以限制.一般是从上述的完全双三次多项式中去掉后面高次项,即
等四项,而仍保持对称性.注意,这种插值函数虽然少了四个高次项,但仍然包含完全的三次多项式,只是由于混合导数
不取作节点值,在两单元之间
沿边界法向导数就无法保证其连续性。尽管如此,它还满足分片检验的收敛准则,因此可以作为板元的挠度模式.
利用待定系数法,可以求出与局部坐标(
)相应的型函数为


在局部坐标系中,插值多项式可写成
![]()